题号 | 试题类型 | 试题类别 | 试题图片 | 试题难度 | 试题分值 | 操作区域 |
---|---|---|---|---|---|---|
1 | 选择题 | 集合与简易逻辑 |
![]() |
简单 |
5 | |
2 | 选择题 | 集合与简易逻辑 |
![]() |
简单 |
5 | |
3 | 选择题 | 集合与简易逻辑 |
![]() |
简单 |
5 | |
4 | 选择题 | 集合与简易逻辑 |
![]() |
简单 |
5 | |
5 | 选择题 | 集合与简易逻辑 |
![]() |
简单 |
5 | |
6 | 选择题 | 集合与简易逻辑 |
![]() |
简单 |
5 | |
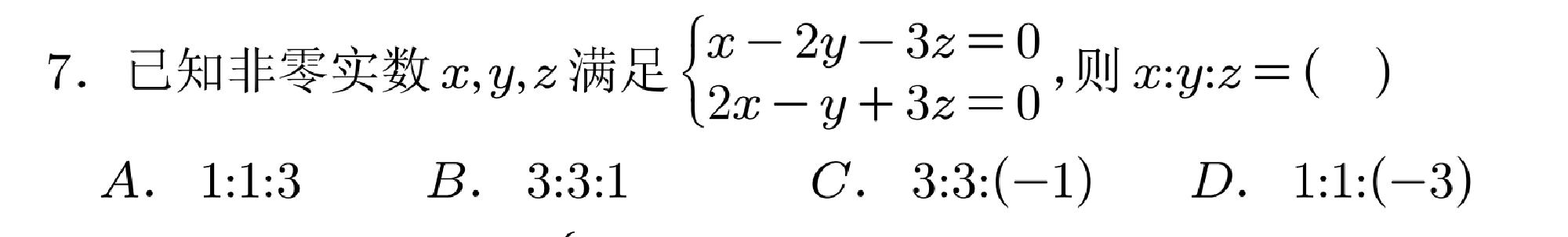
7 | 选择题 | 集合与简易逻辑 |
![]() |
简单 |
5 | |
8 | 选择题 | 集合与简易逻辑 |
![]() |
简单 |
5 | |
9 | 选择题 | 集合与简易逻辑 |
![]() |
简单 |
5 | |
10 | 选择题 | 集合与简易逻辑 |
![]() |
简单 |
5 | |
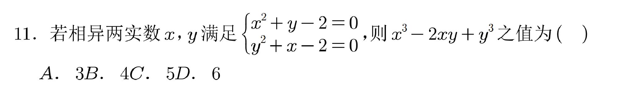
11 | 选择题 | 集合与简易逻辑 |
![]() |
简单 |
5 | |
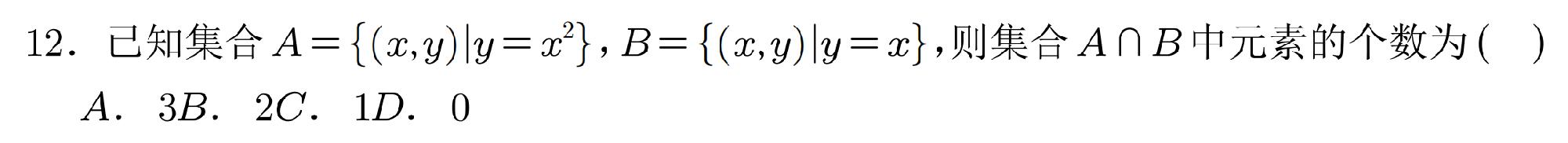
12 | 选择题 | 集合与简易逻辑 |
![]() |
简单 |
5 | |
13 | 选择题 | 集合与简易逻辑 |
![]() |
简单 |
5 | |
14 | 选择题 | 集合与简易逻辑 |
![]() |
简单 |
5 | |
15 | 选择题 | 集合与简易逻辑 |
![]() |
简单 |
5 | |
16 | 选择题 | 集合与简易逻辑 |
![]() |
简单 |
5 | |
17 | 选择题 | 集合与简易逻辑 |
![]() |
简单 |
5 | |
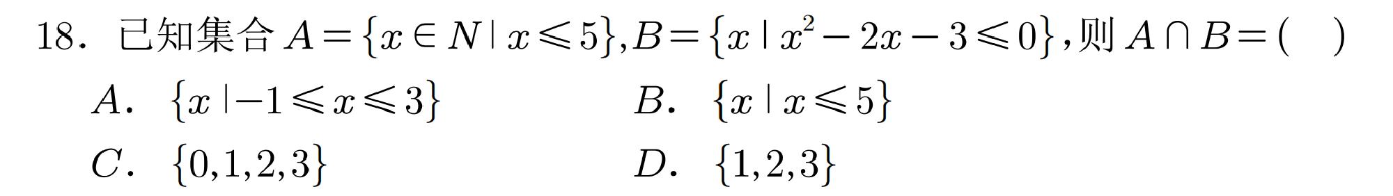
18 | 选择题 | 集合与简易逻辑 |
![]() |
简单 |
5 | |
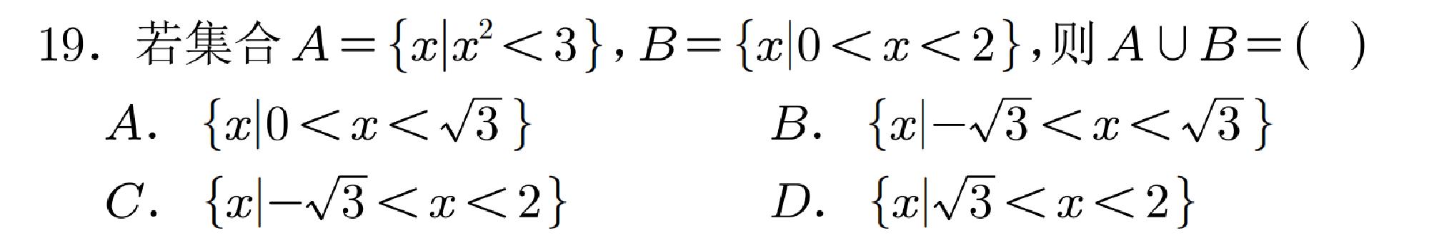
19 | 选择题 | 集合与简易逻辑 |
![]() |
简单 |
5 | |
20 | 选择题 | 集合与简易逻辑 |
![]() |
简单 |
5 | |
21 | 选择题 | 集合与简易逻辑 |
![]() |
简单 |
5 | |
22 | 选择题 | 集合与简易逻辑 |
![]() |
简单 |
5 | |
23 | 选择题 | 集合与简易逻辑 |
![]() |
简单 |
5 | |
24 | 选择题 | 集合与简易逻辑 |
![]() |
简单 |
5 | |
25 | 选择题 | 集合与简易逻辑 |
![]() |
简单 |
5 | |
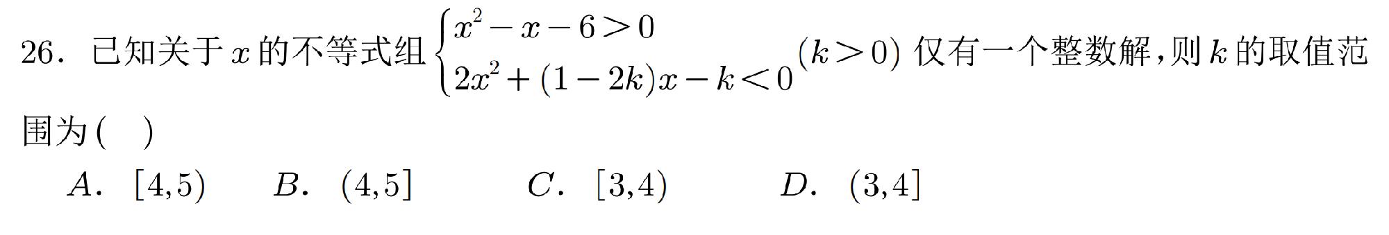
26 | 选择题 | 集合与简易逻辑 |
![]() |
简单 |
5 | |
27 | 解答题 | 三角函数 |
![]() |
简单 |
10 | |
28 | 解答题 | 三角函数 |
![]() |
简单 |
10 |