题号 | 试题类型 | 试题类别 | 试题图片 | 试题难度 | 试题分值 | 操作区域 |
---|---|---|---|---|---|---|
1 | 选择题 | 集合与简易逻辑 |
![]() |
简单 |
5 | |
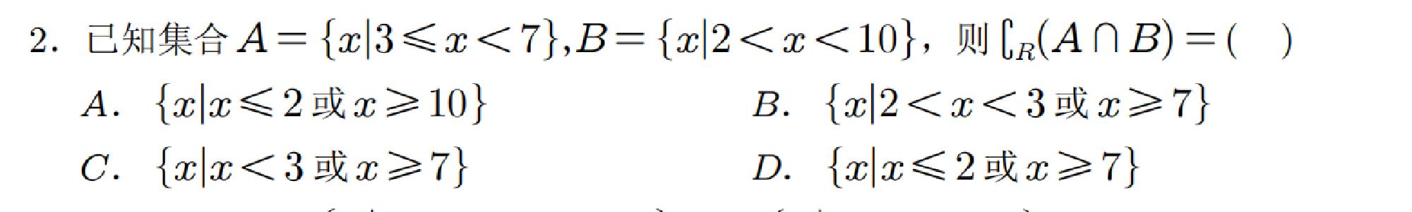
2 | 选择题 | 集合与简易逻辑 |
![]() |
简单 |
5 | |
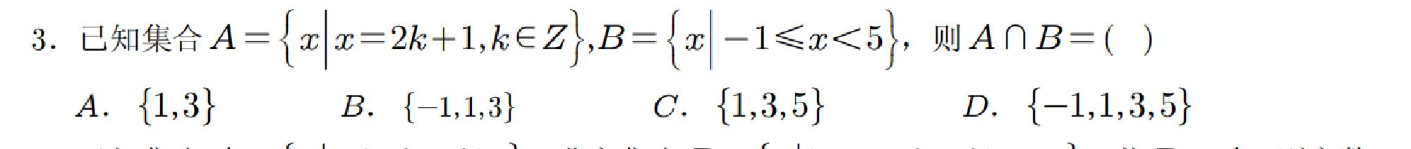
3 | 选择题 | 集合与简易逻辑 |
![]() |
简单 |
5 | |
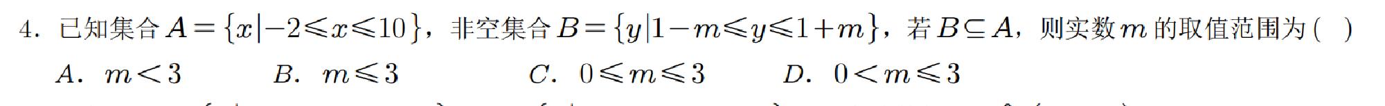
4 | 选择题 | 集合与简易逻辑 |
![]() |
简单 |
5 | |
5 | 选择题 | 集合与简易逻辑 |
![]() |
简单 |
5 | |
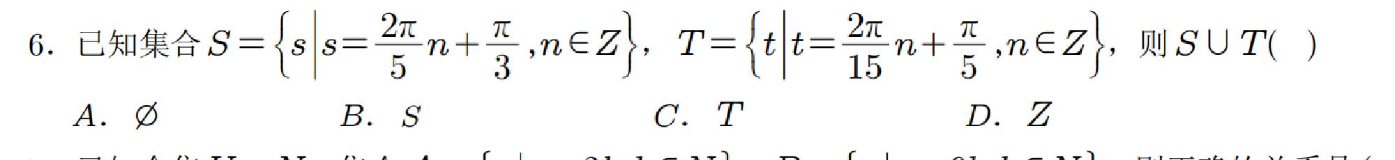
6 | 选择题 | 集合与简易逻辑 |
![]() |
简单 |
5 | |
7 | 选择题 | 集合与简易逻辑 |
![]() |
简单 |
5 | |
8 | 选择题 | 集合与简易逻辑 |
![]() |
简单 |
5 | |
9 | 选择题 | 集合与简易逻辑 |
![]() |
简单 |
5 | |
10 | 选择题 | 集合与简易逻辑 |
![]() |
简单 |
5 | |
11 | 选择题 | 集合与简易逻辑 |
![]() |
简单 |
5 | |
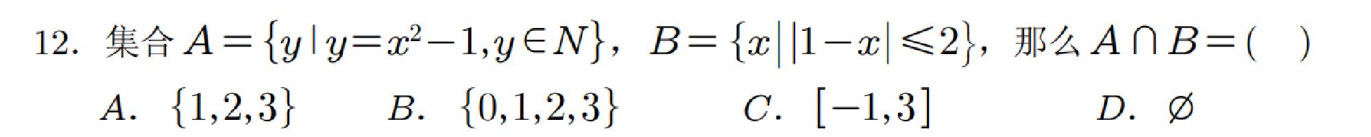
12 | 选择题 | 集合与简易逻辑 |
![]() |
简单 |
5 | |
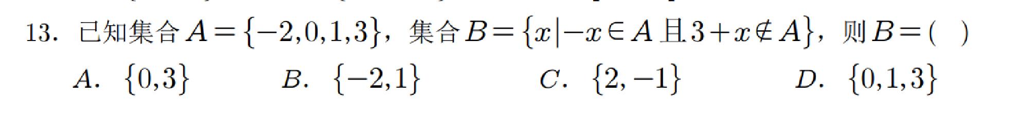
13 | 选择题 | 集合与简易逻辑 |
![]() |
简单 |
5 | |
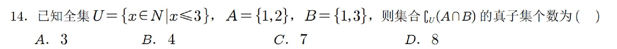
14 | 选择题 | 集合与简易逻辑 |
![]() |
简单 |
5 | |
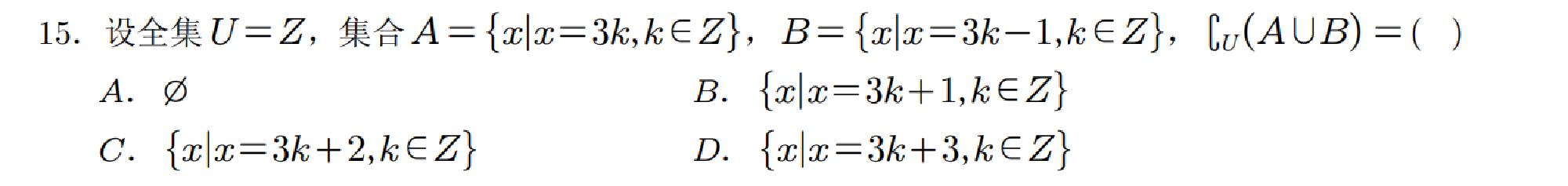
15 | 选择题 | 集合与简易逻辑 |
![]() |
简单 |
5 | |
16 | 选择题 | 集合与简易逻辑 |
![]() |
简单 |
5 | |
17 | 选择题 | 集合与简易逻辑 |
![]() |
简单 |
5 | |
18 | 选择题 | 集合与简易逻辑 |
![]() |
简单 |
5 | |
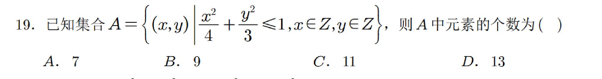
19 | 选择题 | 集合与简易逻辑 |
![]() |
简单 |
5 | |
20 | 选择题 | 集合与简易逻辑 |
![]() |
简单 |
5 | |
21 | 选择题 | 集合与简易逻辑 |
![]() |
简单 |
5 | |
22 | 选择题 | 集合与简易逻辑 |
![]() |
简单 |
5 | |
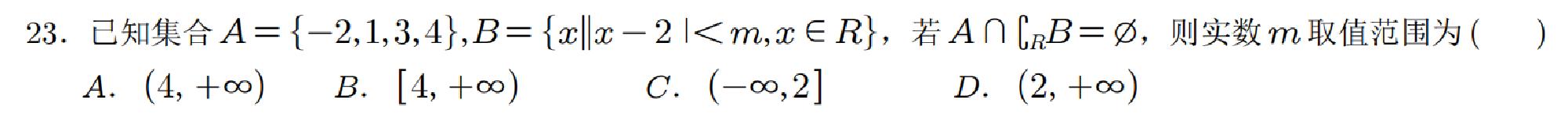
23 | 选择题 | 集合与简易逻辑 |
![]() |
简单 |
5 | |
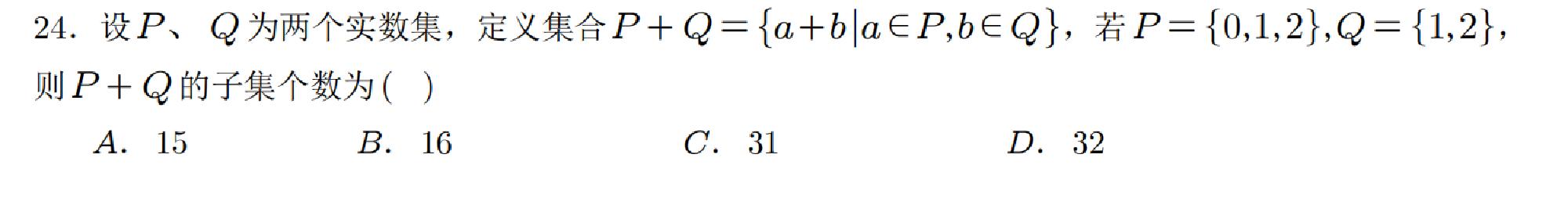
24 | 选择题 | 集合与简易逻辑 |
![]() |
简单 |
5 | |
25 | 解答题 | 三角函数 |
![]() |
简单 |
15 | |
26 | 解答题 | 三角函数 |
![]() |
简单 |
15 |