题号 | 试题类型 | 试题类别 | 试题图片 | 试题难度 | 试题分值 | 操作区域 |
---|---|---|---|---|---|---|
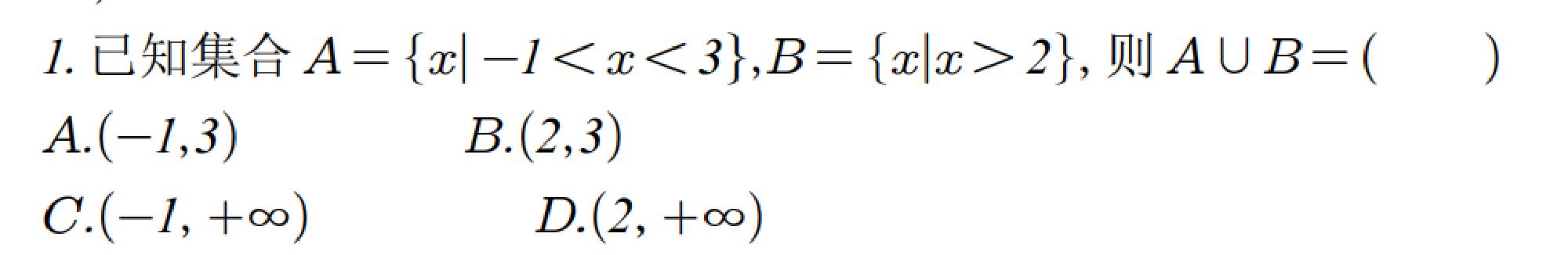
1 | 选择题 | 集合与简易逻辑 |
![]() |
简单 |
5 | |
2 | 选择题 | 集合与简易逻辑 |
![]() |
简单 |
5 | |
3 | 选择题 | 集合与简易逻辑 |
![]() |
简单 |
5 | |
4 | 选择题 | 集合与简易逻辑 |
![]() |
简单 |
5 | |
5 | 选择题 | 集合与简易逻辑 |
![]() |
简单 |
5 | |
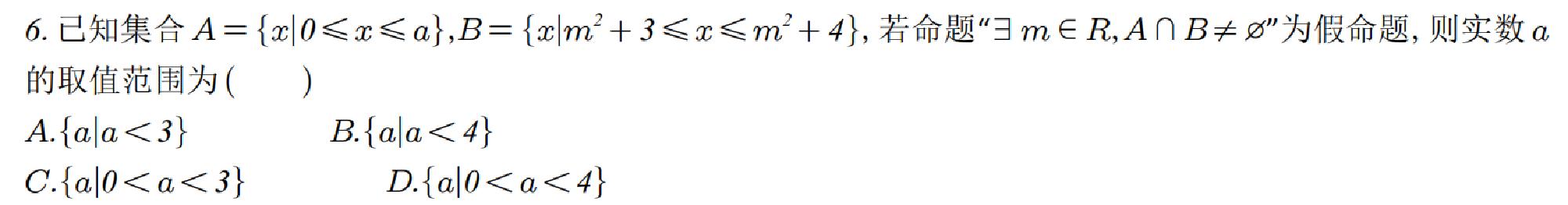
6 | 选择题 | 集合与简易逻辑 |
![]() |
简单 |
5 | |
7 | 选择题 | 集合与简易逻辑 |
![]() |
简单 |
5 | |
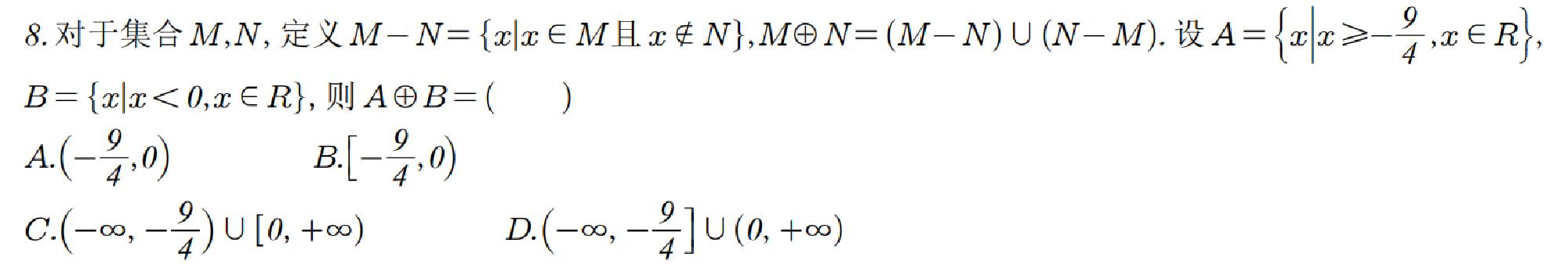
8 | 选择题 | 集合与简易逻辑 |
![]() |
简单 |
5 | |
9 | 选择题 | 集合与简易逻辑 |
![]() |
简单 |
6 | |
10 | 选择题 | 集合与简易逻辑 |
![]() |
简单 |
6 | |
11 | 选择题 | 集合与简易逻辑 |
![]() |
简单 |
6 | |
12 | 填空题 | 初高中衔接教材 |
![]() |
简单 |
5 | |
13 | 填空题 | 初高中衔接教材 |
![]() |
简单 |
5 | |
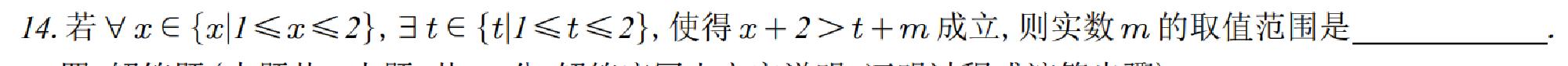
14 | 填空题 | 初高中衔接教材 |
![]() |
简单 |
5 | |
15 | 解答题 | 三角函数 |
![]() |
简单 |
12 | |
16 | 解答题 | 三角函数 |
![]() |
简单 |
15 |