题号 | 试题类型 | 试题类别 | 试题图片 | 试题难度 | 试题分值 | 操作区域 |
---|---|---|---|---|---|---|
1 | 填空题 | 初高中衔接教材 |
![]() |
简单 |
10 | |
2 | 填空题 | 初高中衔接教材 |
![]() |
简单 |
10 | |
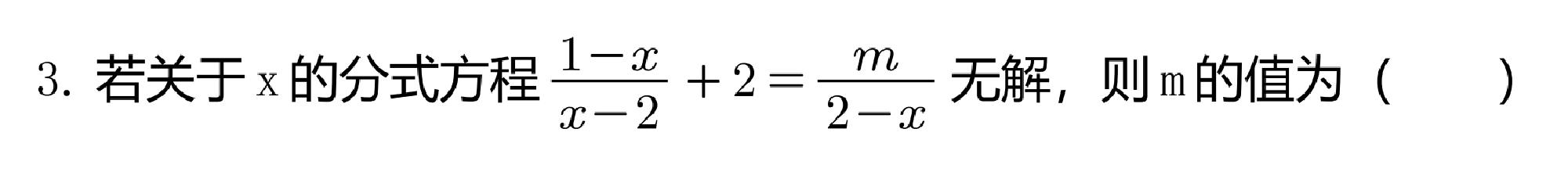
3 | 填空题 | 初高中衔接教材 |
![]() |
简单 |
10 | |
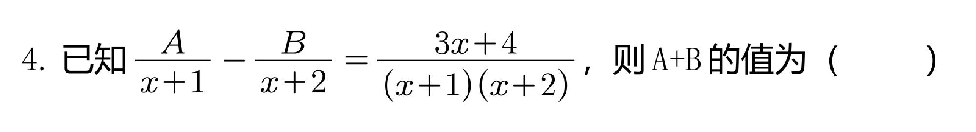
4 | 填空题 | 初高中衔接教材 |
![]() |
简单 |
10 | |
5 | 填空题 | 初高中衔接教材 |
![]() |
简单 |
10 | |
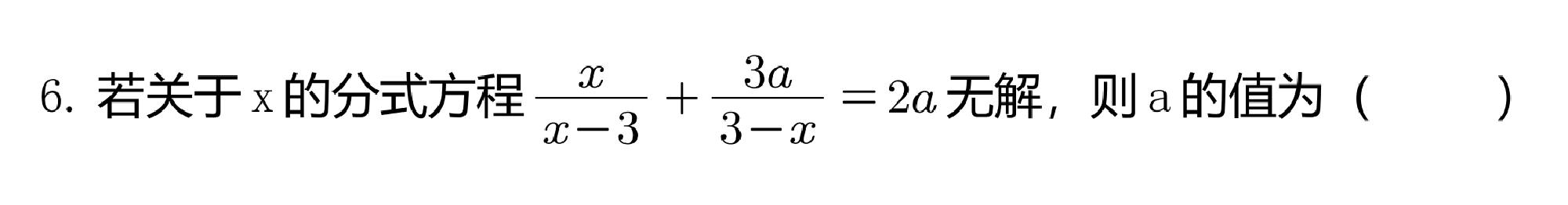
6 | 填空题 | 初高中衔接教材 |
![]() |
简单 |
10 | |
7 | 填空题 | 初高中衔接教材 |
![]() |
简单 |
10 | |
8 | 填空题 | 初高中衔接教材 |
![]() |
简单 |
10 | |
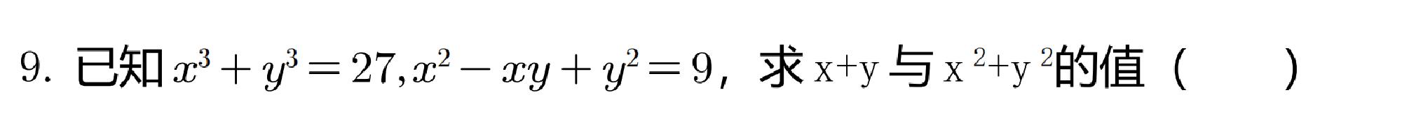
9 | 填空题 | 初高中衔接教材 |
![]() |
简单 |
10 | |
10 | 填空题 | 初高中衔接教材 |
![]() |
简单 |
10 | |
11 | 填空题 | 初高中衔接教材 |
![]() |
简单 |
10 | |
12 | 填空题 | 初高中衔接教材 |
![]() |
简单 |
10 | |
13 | 解答题 | 三角函数 |
![]() |
简单 |
10 | |
14 | 解答题 | 三角函数 |
![]() |
简单 |
20 |